Antibody process development

In biopharmaceutical development, antibody process development is pivotal to commercial success. The structural complexity of large-molecule biologics creates challenges—lengthy development timelines, the need to balance yield and quality, and stringent regulatory expectations.

At ChemExpress, we deeply understand these challenges and, leveraging our extensive expertise and advanced technologies, offer seamless, end-to-end antibody process development, optimization, and manufacturing solutions tailored to your needs at every stage of development. From preclinical candidate compounds (PCC) preparation to patient-ready biologics, we empower you to achieve efficient, scalable biologic drug production.

图片描述1

One-Stop Biologics
CDMO Service

We offer comprehensive, full lifecycle solutions encompassing monoclonal, bispecific, and multispecific antibodies, recombinant proteins, and ADCs, building an integrated service platform that covers the entire process from R&D to commercialization.

图片描述2

Expert Scientific Team

Our team of over 200 scientists provides comprehensive support from R&D to commercialization, enabling efficient scale-up and seamless technology transfer,effectively reducing management and transition costs. 

图片描述3

Flexible & Efficient
Capabilities

We are equipped with reactor scales of 200L, 500L, and 2,000L, as well as precision instruments such as high-resolution mass spectrometers. Our production capabilities support all stages of drug development (Non-GMP & cGMP). 

Our Services

Leveraging our proven platform processes, we accelerate the seamless transition of antibody therapeutics from proof-of-concept to large-scale batch production.

Our Service Scope Includes

Antibody Process Development

  • Cell Culture Process Development
  • Purification Process Development
  • Formulation Process Development
  • Technology Transfer
  • Process Characterization

Stability Studies

  • Repeated Freeze-Thaw Stability
  • Intermediate Stability
  • Long-Term Stability

Why Partner with ChemExpress

Comprehensive Technical Support

End-to-end technical services provided, spanning from early-stage developability assessment through IND enabling to BLA commercialization, accelerating the path to market

High Cellular Expression

Cell culture offering multiple operational modes, including Fed-Batch (FB), Intensified Fed-Batch (IFB), and Perfusion, with IFB delivering more than 50% higher productivity compared to traditional FB 

Precise Quality Control

Based on antibody quality comparability, and other factors, with precise modulation of CQAs such as glycan profiles, purity, charge variants, and impurities, ensuring product quality consistency and compliance with international standards

圆形图

Delivering with Agility and Rapid Response

Advanced technological platforms and streamlined R&D workflows enabling quick response to client needs:Transient expression and cell pool platforms for rapid provision of preclinical toxicology samples, ensuring efficient project delivery

Scale-up Processes

24*3L and 4*15L bioreactors for cell culture process scaling; stable and intelligent purification systems, including AKTA pure and Avant, supporting seamless process development and scale-up of antibodies and fusion proteins from milligram to gram levels

Our Sites

R&D Site & Manufacturing Site

研发图片1
Chongqing ADC CDMO
Manufacturing Site
Monoclonal, Bispecific, and Multispecific Antibodies, Recombinant
proteins, and ADCs Process Development & Manufacturing

Case Study

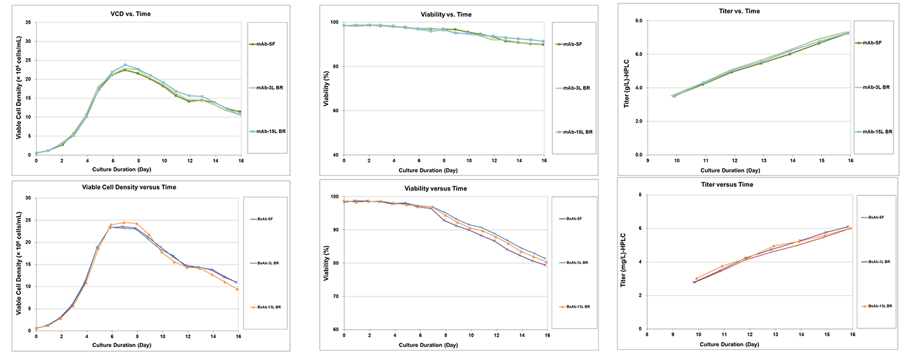
This project focused on process development for both mAb and BsAb cell cultures. Key findings are as follows:

·    mAb cultured in CHO K1 (Horizon) cells achieved a peak viable cell density of approximately 2.2×10⁷ cells/mL, with a harvest viability of 91.1% and a final titer exceeding 7 g/L.

·    BsAb cultured in CHO K1 (CHOZN) cells reached a peak viable cell density of approximately 2.5×10⁷ cells/mL, with a harvest viability of 80.3% and a final titer exceeding 6 g/L.

During upstream scale-up, from shake flask to 3 L bioreactor and further to 15 L bioreactor, both cell types demonstrated consistent growth profiles, viability trends, and productivity, confirming process robustness and scalability.

This project focused on the process development for improving the purity of both mAbs and BsAbs. Key findings are as follows:

·   mAb: Yield >70%, SEC-HPLC purity >99%, charge variant (CEX) main peak >60%, HCP <10 ppm, endotoxin <0.1 EU/mg.

·    BsAb: Yield >60%, SEC-HPLC purity >99%, charge variant (CEX) main peak >60%, HCP <10 ppm, endotoxin <0.1 EU/mg.

Overall, both mAb and BsAb downstream processes achieved high yield and high purity with well-controlled impurities (HCP, endotoxin), fully meeting the regulatory requirements for dual filing in China and the U.S..

FAQs

Bispecific and trispecific antibodies are structurally more complex and prone to mispairing or stability issues. They require more stringent process optimization, advanced analytical methods, and tighter quality control to ensure correct folding, functional activity, and safety.

For the Konb-in-Hole bispecific antibody configuration, mismatches in Hole-Hole heavy chains and light chains are commonly encountered. For mismatches between Lambda and Kappa light chains, separation of their conformations can be achieved through screening purification resins that specifically target the structural differences of Lambda and Kappa light chains.

For Hole-Hole heavy chain mismatches, separation and removal during downstream purification can be achieved by leveraging inherent property differences between Knob and Hole heavy chains, such as charge variation and differential Protein A/G binding affinity.

ChemExpress can develop and manufacture CHO cell-expressed recombinant proteins under GMP conditions.

Request for Information

  • Please enter first Name.
    Please enter last Name.
  • Please enter email address.
  • Please enter company address.
    Please enter the correct captcha.
Please check agree.